sexta-feira, 28 de agosto de 2015

once again what point crimes of adulteration

today, 18:02, some already large minutes ago, when trying to up load the manuscripts pages published on the sea matters blog. link two posts under in this page, the number 8, page number, did not up load complete when i had try, more them one time, just ( JS) up load when I connect the camera to record the problem, as normal, perhaps they have done this to erase some records on the camera at the same time or to change some paragraphs or even letters on the manuscript notes.

I still insist that these peoples must be present to a court!

returning to the image of the throne correlations between the image on the album 91 92 and the one visible in the dust at NY towers fall

the Entre Rios bridge fall key as explained in recent video comments, that also link one of the attempts to murder me in the north


quarta-feira, 26 de agosto de 2015

inf. concerning the 1001 video master





the link to the premonitory dream with Monica in NY, because i suppose the link published on the anterior post do not work in public mode

https://docs.google.com/file/d/0B8LcvafkMt98M2xwb1BGSFQzdkE/edit

terça-feira, 25 de agosto de 2015

STILL GOING ON THESE CONSTANT CRIMES OF IMPEACHMENT

the terrorists are again impeaching the viewing of the master 1002, that i had up load just now, the same fake message saying that the player html do not work on this browser, also do not appear on goggle explorer. this crime is even show in this video, perhaps one of the reason among other to this crime of impeachment

the tsunami image prepared on the album 91 92



in recent video I show what seems a signature reflex on the orient bridge expo Lisbon, after my comments on Maria  Elisa show at RTP, with the man from the visa chip and others from, I dream,.

these two photos on the album done by Cristina Coutinho at 91 92, during the shooting of the spot to the council of Lisbon, shows a fracture, and a story on the fire truck, an elevation, a bull, a lady, and also the Toyota sub line,

1002 M 22 08 2015 this is the second upload that i suppose will work in all it length as explained on

1003 M 23 08 2015, an extract of a recent video with what seems a prepared lecture on the electrical train that still puzzles me



1001 M 22 03 2015, this is a re editing of a part of the video 1000 M, already published that had

problems on audio, due the constant crimes they committed against my works, namely with the takes shoot on the Toshiba camera. the original uploaded master, the 1000M, had been also target with other technical pass, crimes, like alteration of proportions, and head informations


the first upload with the other parts of this video, under at this link, 

problems on the 1002 master under, it stop more or less around 50 m , i will try

to upload it again, with a version that is working at least on my pen. yesterday when after the upload i see it at home from the pen, the problem whore also in this copy.

1.rectification 1: some of the photos yesterday upload, i state that they whore from Paris Match, but not only, also from the Point de Vue, another French magazine, like for instance the photo with Cameron.

2. rectification 2 : which i do not know indeed if must be understood as a lapsus linguistic, by the possible value, when in recent video, AXA assurances, i remember the analyse on JF Kennedy assassination, I say at a certain moment, the day before, when Ted was in Dallas, but i do not have memory that Ted was at Dallas in the days before of the visit, where JF was murdered, which means, if true this fact, can be significant, the context was the existence of the poster at Dallas, that connected the "Corno" of Angola and his death

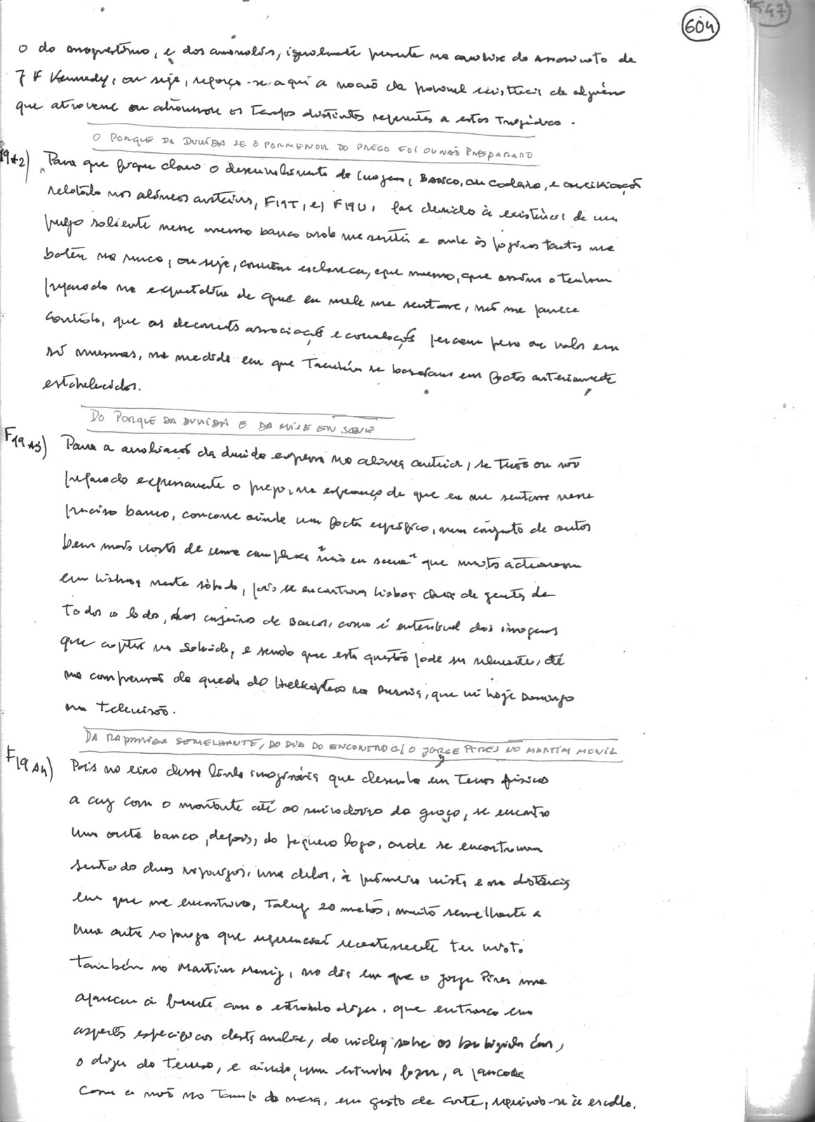
3.concerning the 7 manuscripts pages also yesterday uploaded, i remember that the PAC id, come first from my analyse of the Visão magazine 6, by an article already published, with the title, a shoot on the PAC, common European agriculture politics with the face of two man, and one, the one with glasses, was him, or a very similar to him display in the "mis en scene" at lisbon, the day before the fall of the plane, in the street of her majesty shop, as also approached again in part on these last pages published about the manuscript.

4. remembering also from where came the notion, concept and facts, about the middle pillar, or by others words, the premonitory dream with Monica Lapa at NY 87, also published in the sea matters blogspot where the analyse of the fall is 


 https://photos.google.com/photo/AF1QipOmILw_qW8pzxj5NBd7-lyix3dxujdc5kN0c3Qz

segunda-feira, 24 de agosto de 2015

1002 M 22 08 2015







others video namelly a repeaetd extract of the video 1000 already published because the terrorist had suceeed to create sound problems namelly around the Dell lecture, will be published later, because this shop in front at castilho is closing in four minutes

the others pages, of the same document published in the anterior post, that by the crime during this publishing, can have been meanwhile adulterated





this pages , 7, seven, whore upload in the blooger application just now, 18:55, and when i select them to publish as it is the normal procedure, they do not publish, then is higlhy probably that they had already change the originals and of course some os the paragraphs at leats, I demand the immediate arrest of this criminal peoples 

the first pages of a letter to obama and to all, that i cant publish the others pages because the terrorist are doing a crime of impeachment


3 photos os the album 91/92 that will be explained on the upper manuscripts pages and in the video todays published, a kind of obama last tv news comments continuation


another photos of the same french magazine within the recent video conversation with cameron, great britain pm





strange this may be, the baby seems more a 3d model with very shinning eyes like a kind of cyborgue pearhaps asking goog milk, is approached also in the video today published, the lady in the page seems similar to emmanuelle beart

just be the nero gesture of berlusconi, among the italian contexts






 who would say that this boy will became the usa president?
and of course the first fist bump, also a not farway line with prince albert and charlene



the strange case of the two invoice os cash converter as accounted on recent video


that seems even be connected with the alentejo sub lines, also the street name, says in this always trick ways, "hercules lam amo"

quinta-feira, 20 de agosto de 2015

1000 M 18 08 2015 namelly about a recent obama image if true







in this video a comment on a new sequence of images apparently from obama, after my last two comments with him, the africam summit line and after in cm, the kazoo, kabul, helicopters, and faster computers, that even seems had a connection with the crime described on this video, that they have done in my house, pre anounced on bus by teens and even in the CM, under the usual criminal mystifications about another news around the mirror image of socrates case, that he had, we presume in the prison of ebola, and not evora, aquire a technical degree, or something in the similar manbos jambos, but that by the facts itself, hereby present aquire also again a criminal facet

another photo from the same french magazine, with a curious detail


the last time that the nazi president cavaco silva was in france, according to a phot published in pt newspapers, apparently he was received by mr. hollande, and the phto of both had a particular ressonance with another photo of this beatifull lady, some years ago, the one that was at a certaim point sell in sothebys in london in an auction, here we see her, black and white taking a shower like a "gazela", an african animal, on the shower, this lady that had come to my analyze large years ago, by another pohto and a detail, the "pearls collar neck", an important image and symbol, many time present around the fall of the NY tow, like for instance, in charlize dior pub 

another interresting photo of joe berardo, in the same magazine, also connected with the sub lines of islands and banks crimes, and corruption with public moneys at ccb, I suppose by the facts that are in public domain

terça-feira, 18 de agosto de 2015

999 M 17 08 2015 some more comments on recent aspects and facts


notes on the pattern and symbol on the japoneze panels, the intermitent network, possible connections with child abuse or robber

some forms and symbols from the 91 92 album, London bombs among other disgraces, and a detail on the church on the center of lisbon


the form and symbol in the door of the church, as explained in recent videos and in the one today's published , the 999M 






two photos, the uppers one, from the album 91/92, the shooting of the spot to the Lisbon council, "faz-me festas em lisboa", in my studio at time, latina europa, and the forms that are already approached and explained and correlated in recent videos, the Seebeck,the Maconde statue,the hidden figure, the "rails" on wood, image obama angela merkel at DE summit, obama at the African summit, the cross, the cruxifications, the wings, the broken wings, and others lines that also include the j f Kennedy assassination 


Seebeck, or sebek, "the Egyptian god with dog head " in the wall of a camdowntown coffee in London in 91/92

also a slide show with the same photos, upper guitar legends as explained on the upper video








quinta-feira, 13 de agosto de 2015

998 M 13 08 2015 some more complementary details on images and facts arisen in the last videos


emails sent just now to the cabinet of the president judge of the pt supreme court and to the cabinet of the justice minister

Exmas senhoras dos gabinetes, respectivamente do presidente do supremo tribunal e da ministra da justiça,agradecia o favor de fazer chegar aos respectivos a seguinte missiva e hiperligações,  onde constam algumas inquirições relativas a diversos crimes, nomeadamente a queda de dois helicopteros, um na russia e outro depois em arcos de valdez, que pelo que sustenho, baseado no conhecimento de factos públicos, de alguma forma se encontram relacionados com recentes intervenções da ministra da justiça.

Meus senhores, estamos já em meados de agosto de 2015 e continuo a aguardar as respostas que pela lei me são devidas a mim e meu filho, não só desde janeiro deste ano quando vos ewnviei carta registada, como desde 2007, quando o juiz presidente do supremo e o ministro da justiça eram outros, ou seja, a única constante neste crime de roubo de um filho, é o roubo, e a sistematica ausência de respostas de todas as instituições que carreiam função de lei e de governo





paulo forte

email sent just now to France embassy at Lisbon

Exmos Senhores da embaixada de França,


Agradecia o favor de enviar ao presidente da republica francesa as seguintes informações que constam da carta abaixo e dos respectivos links.
Passado alguns anos continuo igualmente a aguardar a V. respostas a contactos anteriores


cumprimentos
paulo forte

À messieur Hollande de la france à la absence de ma amoureuse

À messieur le president de france, Hollande

Como estive beijando belas raparigas francesas , me dirigo a si senhor presidente, não para vos dizer que não partirei à guerra, mas para vos perguntar se devemos estar no mesmo leito com companhias de seguros ou de saude ou do for, onde crimes assim se passam e que confiança os cidadãos europeus podem ter nelas, ou em contratos, ou em mediadores, ou em cartões eletronicos onde não se pode ler com os olhos o que podem esconder sobre as faixas e linhas magneticas, ou ainda sobre a ausencia regular no leito do amor dos direitos dos cidadãos das republicas e dos estados direitos e a continua sistematica negação de todos os direitos humanos, na verdade, nem sei porque me dirigo a si, visto o sistema da lei comum e consequentemente de todos os mecanismos de representação e delegação se encontram pervertidos em toda a europa e arredores, e como calculará, será sempre melhor beijar os lábios a minha amada, mesmo que alguns talvez a tenham tornado fantasma

Lisboa, agosto de 2015


paulo forte

995 M 07 08 2015 Axa, des crimes françaises et d´outres, and an email sent right now to president judge of the supreme court and to the justice minister

http://ourosobreazul.blogspot.pt/2015/08/995-m-07-08-2015-axa-des-subjects.html

terça-feira, 11 de agosto de 2015

997 M 10 08 2015


this video is already adulterated by the terrorist, this time even before the uploading,  and also in the original take in the camera, as can be quickly understood by the first take, when i´m speaking about the symbol and concept of the rising star in the middle of the columns of towers,the spiral star, and the re editing says or seems saying, false as i had prove, witch is a lie, of course, because as no sense by it self. I wont these peoples present to a court. this prove the total impossibility of confidence in all the actual systems of communications based in the modern technologies   

À messieur Hollande de la france à la absence de ma amoureuse

À messieur le president de france, Hollande

Como estive beijando belas raparigas francesas , me dirigo a si senhor presidente, não para vos dizer que não partirei à guerra, mas para vos perguntar se devemos estar no mesmo leito com companhias de seguros ou de saude ou do for, onde crimes assim se passam e que confiança os cidadãos europeus podem ter nelas, ou em contratos, ou em mediadores, ou em cartões eletronicos onde não se pode ler com os olhos o que podem esconder sobre as faixas e linhas magneticas, ou ainda sobre a ausencia regular no leito do amor dos direitos dos cidadãos das republicas e dos estados direitos e a continua sistematica negação de todos os direitos humanos, na verdade, nem sei porque me dirigo a si, visto o sistema da lei comum e consequentemente de todos os mecanismos de representação e delegação se encontram pervertidos em toda a europa e arredores, e como calculará, será sempre melhor beijar os lábios a minha amada, mesmo que alguns talvez a tenham tornado fantasma

Lisboa, agosto de 2015


paulo forte



este cartão é relativo às matérias abordadas no video com a hiperligação abaixo, ous erá mais, hiper, ligação?


outros documentos relativos a mais este crime e passe ou seja o que for desta ilusão labirinto, que no fundo é estratégia criminosa na manutenção do roubo de meu filho, publicados 

http://113cc.blogspot.pt/2015/08/documentos-relativos-ao-crime-axa-medis.html

existe nas fotocopias que meu pai me deu, não sei se já alterado, como é sistematicamente o crime, um traço vertical como uma cobra verde do lado direito de uma das folhas do contracto da axa, que me parece muito estranho no contexto da queda do helicoptero russo

sobre o cheque de meu pai que me deixou com parte do dinheiro para eu poder me alimentar durante estas férias, como se pode entender é de obrigatorio deposito e não trago eu como sabeis nenhuma conta em nenhum banco. certamente será um lapso, ou então uma forma de garantir, os criminosos que o tem na mão, que eu me mantenha neste país e sujeito a escravatura. talvez abra uma conta no banco chines aqui ao lado, pois tem um belo desenho de interiores e um guerreiro antigo no logo com arco e flecha, contudo senhor presidente ou senhora amada ausente, como pode um cidadão confiar em bancos quando o que se passa são administradores e contabilistas que aparecem nas noticias a dizer que reconhecem ter falsificado a contabilidade e não existe nenhuma prisão, garantia de correção e ressarcimento?

sexta-feira, 7 de agosto de 2015

995 M 07 08 2015 Axa, des crimes françaises et d´outres, and an email sent right now to president judge of the supreme court and to the justice minister





TEXT EMAIL UNDER

Exmas Senhoras dos respectivos gabinetes de apoio do juiz presidente do supremo tribunal e da ministra da justiça, agradecia o favor de transmitir esta missiva aos acima citados.

Continuo a aguardar as respostas às diversas correspondências e emails que enviei desde o passado 16 de Janeiro de 2015, sobre o crime que decorre contra mim, meu filho e muitos mais desde 2006, sem nenhuma resposta até hoje por parte de todas as instituições nacionais.

friso, que como entendivel nos meus últimos videos publicados dos quais anexo hiperligações, bem como do extracto do meu manuscrito publciado no dia 03 08 2015,  de novo existem indícios de participação activa da ministra da justiça, na queda do helicoptero na Rússia como explico.



Os dois videos



paulo forte

quarta-feira, 5 de agosto de 2015

994 M 04 08 2015




the originals of this video whore immediately robber in the transfer at the garden of the science university, perhaps by the security man, a small yellow house, at the entrance. then i copy the takes  again and i succeed to do a first encoding, today when i opened the pc, there was not more there, the video. then i started encoding again, and the had already scripts that do not allow the encoding in mpeg 4. finally I redo the video in windows format, but as all can see, the also change or adulterated  the codecs.

of course there are important facts on this video, namely an operation that had fall a Russian helicopter, is true the news, that are also comment on the manuscripts pages published under, and i suppose all this effort concerning these particular images, is because they have already another version that after they will replace for the video that i´m uploading just now, at least this is the normal detected criminal ways.

indeed here in the shop where i´m trying to upload, the page says that the video is already processed but still do not appear any image of the video.

at the end of this new video, the 994, i say that the anterior had a certain length, that is also different, at least apparently from the length of the version that is online, this seems point again manipulation of all the evidences, that touch very important crimes, like London bombs and tsunami 2005.the length of the video is also different from one of my version that i still have at this moment

i suppose this is again a NATO act, by the account that is given on the video with the act of the NATO military that lives on the building, after the crash of the Russian helicopter.

also in this video now upload, I suppose whore more images concerning the other helicopter that was hovering above the center cit last Saturday, as understandably by the manuscript notes

the video upload now mus have as length  2 hours, 2 minutes,  something.

It also seems again that when minister of justice appears actively participating on these "mis en scene", airplanes and now helicopters fall, the last one was the  Swiss Alpes one, her recently saying on the newspaper comment by me, that she will go until the end with the PM, seems correspond to go until the floor, like the helicopter

I demand the immediately criminal persecution of this criminals!
 
I WONT THESE PEOPLES ON JAIL!

just now the image of the video uploaded appear, but I can  not confirm, at least for this time,  if was not adulterated meanwhile, 

some kiss to you with as normally other deeply meanings by beautiful musicians and composers

http://eubeijote.blogspot.pt/

namely concerning horses of waters, a detail on the japoneze panels

segunda-feira, 3 de agosto de 2015